Ðû²¼Ê±¼ä£º2021-10-28µã»÷£º3376
ÕªÒª
½ÓÄÉÄ£Äâ´óÆøÇé¿öµÄÊÒÄÚÖÐÐÔÑÎÎí¸¯»¯ÊµÑ飬̽ÌÖÁËÍÂÁ²ã×´¸´ºÏÖÊÁϵĸ¯»¯ÐÐΪ¡£Í¨¹ýɨÃèµç¾µ £¨SEM£© ÊӲ츯»¯ºóÍÂÁ½çÃæÐÎò£¬½áºÏXÉäÏßÑÜÉäÒÇ £¨XRD£© ºÍÄÜÆ×ÒÇ £¨EDS£© ÆÊÎö¸¯»¯²úÆ·Éí·Ö£¬²¢Í¨¹ýµç»¯Ñ§¼ì²âÆÊÎöÊÔÑù¾¹ý²î±ðʱ¼äÑÎÎí¸¯»¯ºóµÄÍâò¸¯»¯×´Ì¬£¬Ì½ÌÖÍÂÁ¸´ºÏ°åÔÚ·þÒÛÇé¿öϵĸ¯»¯»úÖÆ¡£½á¹û±êÃ÷£ºÍÂÁ¸´ºÏ°åÔÚÑÎÎíÇé¿öÏÂÍÂÁ×é³É¸¯»¯Ôµç³Ø£¬AlΪÑô¼«ÍΪÒõ¼«£¬ÒõÑô¼«Ãæ»ý±ÈÔ½´ó£¬¸¯»¯ËÙÂÊÔ½´ó¡£Ëæ×Ÿ¯»¯µÄ²»¾ø½øÐУ¬ÍÂÁ½çÃæµÄCuÒ»²à±¬·¢¸¯»¯£¬ÇÒ¿¿½ü½çÃæµÄλÖø¯»¯***ΪÑÏÖØ£¬Ëæ×Ÿ¯»¯Ê±¼äÑÓ³¤£¬ÂÁ»ùÌå·ºÆðÑÏÖØµÄ°þÊ´ÏÖÏó£¬CuÏÕЩÎÞ±ä¸ï¡£¸¯»¯²úÆ·Éí·ÖΪAl2O3£¬Al£¨OH£©3ºÍAlO£¨OH£©£¬µç»¯Ñ§½á¹ûÏÔʾ£ºÍÂÁ¸´ºÏ°åÔÚ¸¯»¯µÄÀú³ÌÖУ¬¸¯»¯ËÙÂÊ·ºÆðÏÈÔö¼Óºó¼õСÔÙÔö¼ÓµÄÇ÷ÊÆ¡£
Òªº¦´Ê£ºÍÂÁ²ã×´¸´ºÏ°å£» ÑÎÎí¸¯»¯£» µç»¯Ñ§£» Ê§ÖØ£» ¸¯»¯²úÆ·
ÍÂÁ¸´ºÏ°å²Ä×÷ΪһÖÖÐÂÐ͸´ºÏÖÊÁÏ£¬¼æ¾ßÁËÂÁµÄÖÊÇá¡¢¾¼ÃºÍ͵ĽӴ¥µç×èµÍ¡¢Íâ±íÃÀ¹Û¡¢µ¼µçÐԺᢵ¼ÈÈÂʸߵÈÓŵ㣬Æä¹ã·ºÓ¦ÓÃÓÚÆû³µ¡¢µç×Ó¡¢µçÁ¦¡¢µçÆ÷¡¢Ê¯ÓÍ¡¢»¯¹¤¡¢Ôì´¬¡¢Ò±½ð¡¢»úе¡¢º½¿Õº½Ìì¡¢Éú»îÓþߡ¢Ô×ÓÄܵȹ¤ÒµÁìÓò[1-3]¡£ÍÂÁ¸´ºÏ°åºã¾Ã·þÒÛÓÚ´óÆøÇé¿öÖУ¬±¬·¢µÄ¸¯»¯ÀàÐ;³£¾ßÓжàÑùÐÔ£¬ÓÉÓÚ²î±ðµÄÖÊÁÏÖ®¼ä»áÐγɵçż¶Ô£¬ÇÒÔÚ¸¯»¯µÄÀú³ÌÖÐÍùÍù»¹»áÊܵ½½éÖÊÖÐÇÖÊ´ÐÔÀë×ÓµÄ×÷Óã¬Òò´ËÆä¸¯»¯»úÀíÏà¶ÔÅӴ󣬯äÖг£¼ûÉæ¼°µÄ¸¯»¯ÀàÐͰüÀ¨µçż¸¯»¯¡¢µãÊ´¡¢Â©¶´¸¯»¯¡¢***¸¯»¯¡¢»¯Ñ§¸¯»¯¼°µç»¯Ñ§¸¯»¯µÈ[4-6]£¬²¢ÇÒÍâòÍùÍù¾ßÓжۻ¯Ä¤£¬¶ÔÆä¾ßÓб£»¤×÷Ó㬵«Íâò¾³£±£´æ¾Ö²¿È±ÏÝ£¬µ±±£´æÆÆ»µ¶Û»¯Ä¤µÄ»îÐÔÀë×Ó £¨Ö÷ÒªÊÇÂ±ËØÔ×ÓCl£¬F£¬Br£¬I£¬At£© ÓëÅäλÌå £¨Ë®ÖеÄOH-£© ʱ£¬ÈÝÒ×Ôì³É¶Û»¯Ä¤µÄ¾Ö²¿ÆÆ»µ£¬Ëæ×Å·þÒÛʱ¼äµÄÑÓ³¤£¬ÍÂÁÖÊÁÏÔâÊܺÜÇ¿µÄÆÆ»µ×÷ÓÃ[7-9]¡£±ðµÄ£¬Í°åºÍÂÁ°å½áºÏµÄ½çÃæ´¦ÔÚÖÆ±¸Àú³ÌÖÐÓÉÓÚÔªËØÖ®¼äµÄÀ©É¢×÷Óã¬ÐγÉÁ˽ðÊô¼ä»¯ºÏÎÕâЩ½ðÊô¼ä»¯ºÏÎï¶Ô¸´ºÏ°åµÄ¸¯»¯¾ßÓÐÒ»¶¨µÄÓ°Ïì×÷Óá£Ñо¿±êÃ÷£¬ÔÚÍÂÁ½çÃæ´¦±£´æ×ŶàÖÖ½ðÊô¼ä»¯ºÏÎÀýÈçCuAl¡¢CuAl2¡¢CuAl4ºÍCu9Al4£¬ÕâЩ½ðÊô¼ä»¯ºÏÎïËäÈ»»áÔöÇ¿ÒìÖÖ½ðÊôµÄ½áÐÁ¦£¬µ«Í¬Ê±»áÏ÷ÈõÖÊÁϵÄÁ¦Ñ§ÐÔÄÜ[10-12]¡£·ëÁ¢³¼µÈ[13]ÈÏΪÔÚ½ðÊô¼ä»¯ºÏÎï²ã±ßÑØÈÝÒ×±¬·¢Ó¦Á¦¼¯ÖУ¬´Ó¶øÃÈÉúÁÑÎÆÔ´£¬Í¨¹ý¸¯»¯ÐÔÀë×ÓµÄÇÖÊ´¼ÓËÙ¸¯»¯µÄ±¬·¢¡£ÒóìñìĵÈ[14]È´·¢Ã÷ÍÂÁÇ¥º¸½ÓÍ·ÖеĽðÊô¼ä»¯ºÏÎïÊǸߵçλÒõ¼«Ï࣬²»Ò×±¬·¢¸¯»¯¡£ÓÈÆäµ±ÍÂÁÖ®¼ä×é³ÉÁ˵çż¶Ô£¬±¬·¢µÄµçż¸¯»¯¶ÔÆäËû¸¯»¯ÀàÐÍÒ²¾ßÓÐÒ»¶¨µÄÔö½ø×÷Óá£ÕÔÑÒµÈ[15]ÈÏΪ¸²Í°å £¨CCL£© ±È´¿ÍÄÍÊ´ÐÔÄܲÒòΪ±¬·¢Á˵翸¯»¯¡£³Â¹úºêµÈ[16]Ñо¿ÁË220 kV±äµçÕ¾ÍÂÁ¹ý¶ÉÏ߼и¯»¯Óë¶ÏÁѵÄÎÊÌ⣬Ñо¿ÈÏΪÍÂÁ¹ý¶ÉÏ߼еײ¿±¬·¢µÄº¸·ì¸¯»¯²úÆ·ÊÇÓÉÓÚCu¡¢AlÁ½ÖÖ½ðÊôÖ®¼ä±¬·¢Á˵绯ѧ·´Ó¦£¬´Ó¶øÐγÉÁËÒÔÂÁΪ¸º¼«¡¢ÍΪÕý¼«µÄÔµç³Ø£¬¼ÓËÙÂÁ±¬·¢Â©¶´¸¯»¯¡£DavovdiµÈ[17,18]½«AFMºÍSECMÏà½áºÏÊÓ²ìÁËÂÁºÏ½ðÔÚNaClÈÜÒºÖеĸ¯»¯ÐÐΪ£¬·¢Ã÷ÂÁºÏ½ð***³õ±¬·¢µÄµãÊ´ÊÇÒòΪ»ùÌåÖÐÑô¼«ÐÔ½ðÊô¼ä»¯ºÏÎïµÄÓÅÏȸ¯»¯»òÓë½ðÊô¼ä»¯ºÏÎïÁÚ½ü¾ÖÓòµÄ½ðÊô±¾ÌåµÄ¸¯»¯Ôì³ÉµÄ£¬Ëæ×ÅÖð½¥ÉÏÉýµÄÑô¼«µç¼«µç룬¸¯»¯½øÒ»²½¼ÓÉî¡£
´óÆøÌ»Â¶¸¯»¯ÊµÑéÊÇÑо¿´óÆø¸¯»¯***¾«È·¡¢***¿É¿¿µÄÒªÁ죬µ«ÇøÓòÐÔÇ¿¡¢ÊµÑéÖÜÆÚ³¤£¬ÊµÑé½á¹ûµ¹ÔËÓÚ¹ã·ºÍÆ¹ã[19-22]¡£±¾ÎÄͨ¹ýÄ£Äâ´óÆø¸¯»¯½øÐÐÊÒÄÚÖÐÐÔÑÎÎíʵÑéÒÔËõ¶ÌʵÑéÖÜÆÚ£¬À´Ì½ÌÖÔÚÂÈÀë×ÓµÄ×÷ÓÃϲî±ðÒõÑô¼«Ãæ»ý±ÈµÄÍÂÁ¸´ºÏ°å²Ä¸¯»¯ÐÐΪ£¬Åжϸ¯»¯¶Ô½çÃæ²ã½áºÏµÄÓ°Ï죬½ø¶ø»ñµÃ½çÃæ²ã¸¯»¯¶Ô½áºÏʧЧµÄÓ°Ïì»úÖÆ£¬ÎªÒÔºó»ñµÃ¸¯»¯Ìõ¼þϵĸ´ºÏ°å·þÒÛÌõ¼þÔ¼Êø±ê×¼µÓÚ¨ÀíÂÛ»ù´¡¡£
1 ʵÑéÒªÁì
ʵÑéÖÊÁÏÑ¡ÓÃÍÂÁ²ã×´¸´ºÏ°å²Ä£¬½«Æä¼Ó¹¤³É20 mm¡Á20 mm¡Á6.6 mºÍ20 mm¡Á20 mm¡Á3 mmµÄÊÔÑù£¬Èçͼ1Ëùʾ¡£Á½°åͨ¹ýÖýÔþ¹¤ÒÕÐγÉÒ±½ð½áºÏ£¬ÔÚ½çÃæ´¦±£´æÈý²ãÀ©É¢²ã£¬Éí·ÖΪAlCu¡¢Al2CuºÍAl4Cu9¡£½«ÍÂÁ½áºÏ½çÃæÓÃ600ºÅµ½2000ºÅɰֽÖð¼¶´òÄ¥²¢Å×¹âÖÁÍâÃ²×ÆË¸¾ùÔÈ£¬Óþƾ«²ÁÏ´ºó´µ¸É²¢·ÅÔÚ¸ÉÔïÃóÀï¸ÉÔï48 hºó£¬Ê¹ÓÃÓα꿨³ßÕÉÁ¿ÊÔÑùʵ¼Ê³ß´ç£¬²¢Óþ«¶ÈΪ0.001 mgµÄµç×ÓÌìÆ½³Æ³ÆÁ¿ÊÔÑùÔʼÖÊÁ¿¼Í¼ÏÂÀ´¡£

ÖÐÐÔÑÎÎí¸¯»¯ÊµÑ鯾¾ÝGB 6458-86ÔÚDG-170211ÑÎÎí¸¯»¯»úÉϽøÐС£ÓÃÃÞÉþ½«ÊÔÑùÐü¹ÒÔÚÑÎÎí¸¯»¯ÏäÊÂÇéÊÒÄÚ£¬ÊµÑéζÈΪ35 ¡æ£¬Ñ¡È¡²î±ðʱ¼ä½øÐÐŨ¶ÈΪ5% £¨ÖÊÁ¿·ÖÊý£© NaClÈÜÒºµÄÁ¬ÐøÑÎÎíʵÑ飬ѡȡÑÎÎí¸¯»¯Ê±¼ä»®·ÖΪ24£¬144ºÍ240 h¡£ÑÎÎíʵÑéºó£¬¹ÎÏÂÍâò¸¯»¯²úÆ·¼°Íâò¸½×ŵijÁ»ýÑΣ¬¾Æ¾«ÇåÏ´´µ¸Éºó£¬¸ÉÔï48 hÔÙ½øÐгÆÖØ£¬***ºó½øÐÐÏà¹ØÅÌËãºÍ¼ì²â¡£ÔÚVSP300µç»¯Ñ§ÊÂÇéÕ¾½øÐе绯ѧʵÑ飬±¥ºÍ¸Ê¹¯Îª²Î±Èµç¼«£¬²¬Ë¿Îª¶Ôµç¼«£¬ÊÂÇéµç¼«¼´ÍÂÁ¸´ºÏ°åʹÓÃÈÈÈÛ½º½«³ýÁ˱»²âÃæÒÔÍâ¾ùÍ¿·âºÃ£¬±»²âÃæÎªÍÂÁµÄ½áºÏ½çÃæ£¬¼«»¯ÇúÏßɨÃè¹æÄ£ÊÇ-1~1 V£¬É¨ÃèËÙ¶ÈΪ10 mV/s£¬µç»¯Ñ§×迹ƵÂʹæÄ£Îª105~10-2 Hz£¬µÈЧµç·ͼͨ¹ýZSIMPWINÈí¼þÆÊÎöÄâºÏ£¬½ÓÄÉS-3400ɨÃèµç¾µ £¨SEM£© ¶ÔÍÂÁ¸´ºÏ°åÍâò¼°¸¯»¯²úÆ·½øÐÐ΢¹ÛÐÎò¼°132-1D EDXÄÜÆ× £¨EDS£© ÆÊÎöÉí·Ö£¬Ê¹ÓÃXRD-7000ÐÍXÉäÏßÑÜÉäÒÇ £¨XRD£© ¼ì²â¸¯»¯²úÆ·Éí·Ö£¬É¨Ãè½Ç¶ÈΪ10¡ã~90¡ã£¬É¨ÃèËÙ¶ÈΪ8¡ã/min¡£¸¯»¯Ê§ÖؽÓÄɹ«Ê½
ÅÌËã»ñµÃ£¬ÆäÖÐW1Ϊ¸¯»¯ºóÖØÁ¿£¬g£¬W0Ϊ¸¯»¯Ç°ÖØÁ¿£¬g£¬SΪÊÔÑù̻¶ÔÚÑÎÎíÇé¿öϵÄÃæ»ý£¬m2¡£
½á¹ûÓëÆÊÎö
2.1 µç»¯Ñ§¼ì²â
ΪÁËÑо¿ÒõÑô¼«Ãæ»ý±È £¨±»²âÃæÉÏÒõ¼«ÍÃæ»ýÓëÑô¼«ÂÁÃæ»ýµÄ±ÈÖµ£© ¶ÔÍÂÁ¸´ºÏ°å¸¯»¯ÐÔÄܵÄÓ°Ï죬½«ÒõÑô¼«Ãæ»ý±È»®·ÖΪ0.16ºÍ0.18µÄÍÂÁ¸´ºÏ°å½þÅÝÔÚNaClÈÜÒºÖнøÐе绯ѧ¼ì²â£¬»ñµÃ¼«»¯ÇúÏßͼºÍµç»¯Ñ§×迹Æ×¡£Í¼2Ϊ²âµÃµÄ¼«»¯ÇúÏßͼ£¬Í¨¹ýTafelÍâÍÆ·¨ÅÌËãµÃ³öµÄ×Ô¸¯»¯µçÁ÷ÃܶȺÍ×Ô¸¯»¯µçλÈç±í1Ëùʾ¡£×Ô¸¯»¯µçÁ÷ÃܶȿÉÒÔ·´Ó¦ÖÊÁϵÄÄ͸¯»¯ÐÔÄÜ£¬×Ô¸¯»¯µçÁ÷ÃܶÈÔ½´ó£¬ËµÃ÷ÖÊÁϵĸ¯»¯ËÙÂÊÔ½¿ì£¬Ä͸¯»¯ÐÔÄÜÔ½²î¡£´Ó±í1ÖпÉÒÔ¿´³ö£¬ÒõÑô¼«Ãæ»ý±ÈΪ0.16µÄÍÂÁ¸´ºÏ°åµÄ¸¯»¯µçÁ÷ÃܶÈΪ19.2 ¦ÌA¡¤cm-2£¬ÒõÑô¼«Ãæ»ý±ÈΪ0.18µÄÍÂÁ¸´ºÏ°åµÄ¸¯»¯µçÁ÷ÃܶÈΪ36.8 ¦ÌA¡¤cm-2£¬¶ø´¿ÂÁµÄ¸¯»¯µçÁ÷ÃܶÈΪ1.852 ¦ÌA¡¤cm-2£¬ÍÂÁ¸´ºÏ°å×é³ÉµÄµçż¶Ô½µµÍÁËÂÁµÄÄÍÊ´ÐÔÄÜ£¬Ëæ×ÅÒõÑô¼«Ãæ»ý±ÈµÄÔö´ó£¬×Ô¸¯»¯µçÁ÷ÃܶÈÔö´ó£¬ËµÃ÷ÍÂÁÒõÑô¼«Ãæ»ý±ÈÔ½´ó£¬Ä͸¯»¯ÐÔÄܱä²î¡£


ͼ3Ϊ²î±ðÒõÑô¼«Ãæ»ý±ÈµÄÍÂÁ¸´ºÏ°å²âµÃµÄµç»¯Ñ§×迹Æ×£¬Nyquistͼ¾ùÓÉÒ»¸öÈÝ¿¹»¡×é³É£¬bodeͼÖеÄÏàλ½ÇͼÏÔʾÍÂÁ¸´ºÏ°åΪһ¸öʱ¼ä³£Êý£¬¶ø´¿ÂÁΪÁ½¸öʱ¼ä³£Êý£¬½«µç»¯Ñ§×迹Æ×ÓÃZSIMPWINÈí¼þÄâºÏ³ÉÈçͼ4aºÍbËùʾµÄµÈЧµç·ͼ£¬ÄâºÏÊý¾ÝÈç±í2Ëùʾ£¬ÆäÖÐRsΪÈÜÒºµç×裬µçÈÝÓó£Ïà½ÇÔª¼þÈ¡´ú£¬CPEdl´ú±íÊÂÇéµç¼«ÍâòµÄË«µç²ãµçÈÝ£¬Rb´ú±í¸¯»¯²úÆ·²ãµç×裬Rct´ú±íÊÂÇéµç¼«Íâò·´Ó¦µÄµçºÉ×ªÒÆµç×裬µçºÉ×ªÒÆµç×èԽС£¬ËµÃ÷ÖÊÁϵÄÄ͸¯»¯ÐÔÄÜÔ½²î¡£´Ó±í2ÖÐÄâºÏµÄÊý¾Ý¿ÉÒÔ¿´³ö£¬ÒõÑô¼«Ãæ»ý±ÈΪ0.16µÄÍÂÁ¸´ºÏ°åµÄRctΪ1421 ¦¸¡¤cm2£¬ÒõÑô¼«Ãæ»ý±ÈΪ0.18µÄÍÂÁ¸´ºÏ°åRctΪ219 ¦¸¡¤cm2£¬ËµÃ÷Ëæ×ÅÒõÑô¼«Ãæ»ý±ÈµÄÔö´ó£¬ÊÂÇéµç¼«ÍâòµÄµçºÉ×ªÒÆµç×è¼õС£¬ÖÊÁϵÄÄ͸¯»¯ÐÔÄܽµµÍ£¬´¿ÂÁµçºÉ×ªÒÆµç×è***´ó£¬¸Ã½á¹ûÓ뼫»¯ÇúÏߵĽá¹ûÏàÎǺϡ£´ÓbodeͼÖеÄ×迹ÇúÏß¿ÉÒÔ¿´³ö£¬´¿ÂÁµÄ×迹ֵ***´ó£¬ÇÒÔö´óÒõÑô¼«Ãæ»ý±Èʱ×迹ֵ½µµÍ£¬Ò²±êÃ÷ÍÂÁ¸´ºÏ°åµÄÄ͸¯»¯ÐÔÄܽµµÍ¡£




ͼ5Ϊ¾¹ý²î±ðʱ¼äÑÎÎí¸¯»¯ºóµÄÍÂÁ¸´ºÏ°å¼«»¯ÇúÏߣ¬ÏàÓ¦µÄÄâºÏÊý¾ÝÈç±í3Ëùʾ£¬´Ó±íÖпÉÒÔ¿´³ö£¬Ëæ×Ÿ¯»¯Ê±¼äµÄÑÓ³¤£¬¸¯»¯µçÁ÷ÃܶȷºÆðÏÈÔö¼Óºó½µµÍ***ºóÔö¼ÓµÄÇ÷ÊÆ£¬ÕâÊÇÒòΪÔÚ¸¯»¯¿ªÊ¼Ö®Ç°£¬ÖÊÁÏÍâò»áÁýÕÖÒ»²ã¶Û»¯Ä¤£¬±£»¤»ùÌåÃâÊܸ¯»¯ÈÜÒºµÄÇÖÊ´£¬´ËʱÖÊÁϵÄÄ͸¯»¯ÐÔÄܽϺᣵ±¸¯»¯Éú³¤µ½24 hʱ£¬ÖÊÁÏÍâòµÄÑõ»¯Ä¤±»¸¯»¯ÆÆ»µ£¬Âã¶³öÀ´µÄ»ùÌåÓ븯»¯Òº½Ó´¥Ãæ»ýÔö´ó£¬Ê¹µÃÖÊÁϵÄÄ͸¯»¯ÐÔÄܱä²î¡£Ëæ×Ÿ¯»¯½øÐе½144 hµÄʱºò£¬ÖÊÁÏÍâòÉú³Éеĸ¯»¯²úÆ·ÁýÕÖÔÚ»ùÌåÍâò£¬×è°¸¯»¯ÈÜÒº¶Ô»ùÌåµÄ½øÒ»²½ÇÖÊ´£¬ÖÊÁϵÄÄ͸¯»¯ÐÔÄÜÌá¸ß¡£µ±¸¯»¯µÖ´ï240 hʱ£¬ÓÉÓÚºóÉú³ÉµÄ¸¯»¯²úÆ·ÊèËɶà¿×ÈÝÒ×ÍÑÂ䣬ʹµÃ»ùÌåÓëÈÜÒºÔÙÒ»´Î½Ó´¥£¬ÊÔÑùµÄÄ͸¯»¯ÐÔÄÜÔٴνµµÍ¡£


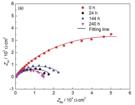
ͼ6Ϊ¾¹ý²î±ðÑÎÎí¸¯»¯Ê±¼äºóµÄÍÂÁ¸´ºÏ°åµç»¯Ñ§×迹Æ×£¬´Óͼ6aÖпÉÒÔ¿´³ö£¬×迹Æ×¾ùÓÉÒ»¸öÈÝ¿¹»¡×é³É£¬ÇÒÈÝ¿¹»¡°ë¾¶Ëæ×Ÿ¯»¯Ê±¼äµÄÑÓ³¤£¬·ºÆðÏȼõСÔÙÔö¼Ó***ºó¼õСµÄÇ÷ÊÆ£¬ËµÃ÷ÖÊÁϵÄÄ͸¯»¯ÐÔÄÜËæ×ÅÑÎÎí¸¯»¯Ê±¼äµÄÔö¼Ó·ºÆðÏÈÌá¸ßºó½µµÍÔÙÌá¸ßµÄÇ÷ÊÆ¡£Í¼6bͼÖÐÏàλ½ÇͼÏÔʾΪһ¸öʱ¼ä³£Êý¡£Í¨¹ýZSIMPWINÈí¼þÄâºÏ³öµÄµÈЧµç·ͼ £¨Í¼4£© Êý¾ÝÈç±í4Ëùʾ¡£´Ó±í4ÖпÉÒÔ¿´³ö£¬Ã»¾¹ýÑÎÎí¸¯»¯µÄÍÂÁ¸´ºÏ°åRctΪ1.0¡Á104 ¦¸¡¤cm2£¬ÑÎÎí¸¯»¯24 hºóRct½µµÍµ½1.9¡Á103 ¦¸¡¤cm2£¬µ½144 hʱRctÉý¸ßµ½7.6¡Á103 ¦¸¡¤cm2£¬µ±¸¯»¯Éú³¤µ½240 hʱ£¬RctÔٴνµµÍµ½3.0¡Á103 ¦¸¡¤cm2¡£ÓÉ´Ë¿ÉÒÔ¿´³ö£¬Ëæ×Ÿ¯»¯Ê±¼äµÄÑÓ³¤£¬µçºÉ×ªÒÆµç×è¾ù·ºÆðÏȼõСÔÙÔö¼Ó***ºó¼õСµÄÇ÷ÊÆ£¬²¨ÌØÍ¼ÖеÄ×迹ֵҲÊÇ·ºÆðÏȼõСÔÙÔö¼Ó***ºó¼õСµÄÇ÷ÊÆ£¬¸Ã½á¹ûÓ뼫»¯ÇúÏߵĽá¹ûÏàÎǺϡ£



2.2 ¸¯»¯Î¢¹ÛÐÎò¼°¸¯»¯²úÆ·Éí·ÖÆÊÎö
¾¹ý²î±ðʱ¼äÑÎÎí¸¯»¯ºóµÄÍÂÁ½çÃæ¸¯»¯Î¢¹ÛÐÎòÈçͼ7Ëùʾ£¬´ÓͼÖпÉÒÔ¿´³ö£¬¸¯»¯¼¯ÖÐÔÚAlÒ»²à£¬CuÒ»²àÏÕЩÎÞ±ä¸ï£¬ÇÒÔÚ½çÃæ´¦µÄ¸¯»¯***ΪÑÏÖØ¡£¸¯»¯24 hʱ £¨Í¼7b£©£¬ÔÚÂÁÒ»²à·ºÆð¿í¶È¾ùÔÈ¡¢½Ó½ü500 ¦ÌmµÄÏÁ³¤¸¯»¯¿Ó£¬¸¯»¯¿Ó´¦±»¸¯»¯µÄ»ùÌå·ºÆð·äÎÑ×´£¬ÔÚÂÁÒ»²àÑØ×ÅÍÂÁ½çÃæ´¦ÂþÑÜ׎ÏΪÖÂÃܵİ×É«¿é×´¸¯»¯²úÆ·£»¸¯»¯144 hʱ¸¯»¯¿ÓÃæ»ý±ä´ó£¬´ÓͼÖпÉÒÔ¿´µ½¸¯»¯¿ÓÄÚ¿ªÊ¼Éú³ÉеĹêÁÑ×´¸¯»¯²úÆ·£»¸¯»¯µÖ´ï240 hʱ£¬ÂÁ»ùÌå°þÊ´ÏÖÏóÏÔÖø£¬¸¯»¯²úÆ·ÍÑÂäÏÖÏóÃ÷ÏÔ£¬Âã¶³öµÄÂÁ»ùÌåÃæ»ý¸ü´ó¡£Í¼8Ϊ¸¯»¯²úÆ·µÄÉí·ÖÆÊÎö£¬ÆäÖÐͼ8aÊǸ¯»¯²úÆ·XRD¼ì²â½á¹û£¬½á¹ûÏÔʾ¸¯»¯²úÆ·µÄÉí·ÖΪAl2O3£¬AlO£¨OH£© ºÍAl£¨OH£©3¡£´Óͼ8bµÄÄܯׯÊÎöÉÏ¿ÉÒÔ¿´³ö£¬¸¯»¯¿ÓÄÚ¸¯»¯²úÆ·µÄÔªËØ³ýÁËÓÐAlºÍOÖ®Í⣬ÁíÓÐÒ»¶¨º¬Á¿µÄCl£¬ËµÃ÷Cl-ÊÇÖÂʹÍÂÁ¸´ºÏ°å±¬·¢¸¯»¯µÄÖ÷ÒªÒòËØ¡£


2.3 ¸¯»¯¶¯Á¦Ñ§
ͼ9ΪÍÂÁ¸´ºÏ°åÔÚ5%NaClÑÎÎíÇé¿öϽøÐвî±ðʱ¼äÁ¬Ðø¸¯»¯µÄ¶¯Á¦Ñ§ÇúÏߣ¬Í¨¹ýoriginÈí¼þÄâºÏ»ñµÃµÄÇúÏß·½³ÌÈçͼÖÐËùʾ£¬ÆäÖÐR2=0.9962£¬ËµÃ÷ÄâºÏЧ¹ûÁ¼ºÃ¡£ÄâºÏµÄ·½³Ì·ºÆðÃÝÖ¸ÊýÐÎʽ£ºW=abn£¬ÆäÖÐnµÄ¾Þϸ´ú±í¸¯»¯²úÆ·¶Ô¸¯»¯µÄÓ°Ï죬µ±n£¼1ʱ£¬ËµÃ÷¸¯»¯²úÆ·¶Ô¸¯»¯Àú³Ì¾ßÓÐÒÖÖÆ×÷Ó㻵±n£¾1ʱ£¬ËµÃ÷¸¯»¯²úÆ·¶Ô¸¯»¯Àú³Ì¾ßÓÐÔö½ø×÷Óá£ÍÂÁ¸´ºÏ°åÑÎÎí¸¯»¯»ñµÃµÄ¸¯»¯¶¯Á¦Ñ§·½³ÌÖÐnֵΪ1.55359£¬´óÓÚ1£¬ËµÃ÷¸¯»¯²úÆ·¶ÔÍÂÁ¸´ºÏ°åµÄ¸¯»¯¾ßÓÐÔö½ø×÷Óá£

2.4 ÍÂÁ¸´ºÏ°åÑÎÎí¸¯»¯»úÀí
ͼ10ÊÇÍÂÁ¸´ºÏ°åÑÎÎí¸¯»¯Ê¾Òâͼ£¬µ±CuºÍAl¸´ºÏÔÚÒ»Æðʱ£¬Á½ÖÖ½ðÊôµÄµçλ²î×é³Éµçż¶Ô£¬CuµÄµçλ¸ßÓÚAlµÄµç룬ËùÒÔ¸¯»¯µÄÀú³ÌÖÐÂÁΪÑô¼«£¬CuΪÒõ¼«£¬Òò´ËAlµÄ¸¯»¯½ÏΪÑÏÖØ£¬¶øCu²àÏÕЩ²»¸¯»¯£¬ÕâÊǶÔÒõ¼«CuµÄÒ»ÖÖ±£»¤×÷Ó᣸¯»¯Àú³ÌÖÐÉæ¼°µÄµç»¯Ñ§·´Ó¦·½³ÌʽÓУº

ÔÚ¸¯»¯¸Õ¿ªÊ¼½×¶Î£¬ÓÉÓÚ½ðÊôÍâòÁýÕÖÒ»²ãÖÂÃܵĶۻ¯Ä¤£¬±£»¤»ùÌåÃâÊܸ¯»¯ÐÔÈÜÒºµÄÇÖÊ´£¬¸¯»¯ËÙÂʽÏÂý£»Ëæ×Ÿ¯»¯Ê±¼äÖð½¥ÑÓ³¤£¬ÓÉÓÚÇÖÊ´ÐÔÀë×ÓCl-µÄ±£´æ£¬Ê¹µÃ¶Û»¯Ä¤ÆÆ»µ£¬»ùÌåÓëÈÜÒºÏà½Ó´¥£¬¸¯»¯ËÙÂʼÓËÙ£¬ÂÁ»ùÌåÉÏ·ºÆðµãÊ´¿Ó²¢±¬·¢Ðµĸ¯»¯²úÆ·£¬ÇÒ¿¿½üÍÂÁ½çÃæ´¦µÄAl¸¯»¯½ÏΪÑÏÖØ£»¸¯»¯Öð²½½øÐеÄÀú³ÌÖУ¬ÂÁ»ùÌåÉÏСµÄµãÊ´¿ÓÖð½¥À©Õ¹£¬ÍÂÁ½çÃæËÄÖܶà¸öÊ´¿ÓÁ¬Í¨Ðγɸü´ó¸üÉîµÄ¸¯»¯¿Ó£¬¸¯»¯²úÆ·Ôö¶à£¬³ýÁË¿é×´Ö®ÍâÁíÓйêÁÑ×´µÄ¸¯»¯²úÆ·£¬×è°»ùÌåÓëCl-µÄ½Ó´¥£¬¸¯»¯ËÙÂʱäÂý£¬´ËÊ±Éæ¼°µÄ·´Ó¦·½³ÌʽÓУº

ÆäÖÐAlOOH¶Ô»ùÌå¾ßÓкÜÇ¿µÄ±£»¤×÷Ó㻸¯»¯ºóÆÚÓÉÓÚØÊºóÖð½¥ÐγÉÊèËɶà¿×Ò×ÓÚÍÑÂäµÄ¸¯»¯²úÆ·£¬ÓëCl-·´Ó¦Èܽ⣬ʹµÃ»ùÌåÔÙ´ÎÂã¶ÔÚÍâÃæ£¬ÓëÈÜÒº½Ó´¥Ãæ»ýÔö´ó£¬¸¯»¯ËÙÂÊÌá¸ß£¬´ËÊ±Éæ¼°µÄ·´Ó¦·½³ÌʽÓУº

Òò´Ë¸¯»¯Àú³ÌÊÇÒ»¸öÑ»·Íù¸´µÄÀú³Ì£¬Ö±µ½ÂÁ»ùÌå±»Öð½¥°þÊ´µô¡£
3 ½áÂÛ
£¨1£© ÍÂÁ¸´ºÏ°åÔÚ¸¯»¯Àú³ÌÖÐ×é³Éµçż¶Ô¼ÓËÙÁËAlµÄ¸¯»¯£¬ÍÂÁ¸´ºÏ°å¾¹ýÑÎÎí¸¯»¯ºó£¬¸¯»¯Ö÷Òª±¬·¢ÔÚAlÒ»²à£¬Cu²àÏÕЩÎÞ±ä¸ï£»ÇÒËæ×ÅÍÂÁÒõÑô¼«Ãæ»ý±ÈµÄÔö´ó£¬ÖÊÁϵÄÄ͸¯»¯ÐÔÄܱä²î¡£
£¨2£© ÓÉÓÚÍÂÁ¸´ºÏ°åµÄ¸¯»¯ÊÇÒ»¸öÑ»·Íù¸´µÄÀú³Ì£¬°üÀ¨»ùÌåµÄÈܽ⡢¸¯»¯²úÆ·µÄÐγÉÓëÍÑÂäÀú³Ì£»Ëæ×ÅÑÎÎí¸¯»¯Ê±¼äÖð½¥ÑÓ³¤£¬µç»¯Ñ§¼ì²â½á¹û±êÃ÷ÍÂÁ¸´ºÏ°åµÄÄ͸¯»¯ÐÔÄÜ·ºÆðÏÈÌá¸ßºó½µµÍÔÙÌá¸ßµÄÇ÷ÊÆ¡£
£¨3£© ÍÂÁ¸´ºÏ°åÊ§ÖØÇúÏßÇкÏÃÝÖ¸Êý·½³ÌW=1.948¡Á10-5t3.17156£¬¸¯»¯²úÆ·¶Ô¸¯»¯Àú³Ì¾ßÓÐÔö½ø×÷Ó᣸¯»¯²úÆ·Éí·ÖΪAl2O3¡¢AlO£¨OH£© ºÍAl£¨OH£©3£¬Cl-ʹµÃÖÊÁϱ¬·¢µãÊ´£¬ÔÚ¿¿½ü½çÃæ´¦£¬ÂÁ»ùÌ屬·¢¸¯»¯***ΪÑÏÖØ£»Ëæºó¸¯»¯¿Ó½øÒ»²½ÏòºáÏòºÍ×ÝÏòÀ©Õ¹£¬¸¯»¯²úÆ·Öð½¥Ôö¶à£¬ÔÙÓëCl-·´Ó¦¶øÍÑÂäÖØ¸´Ñ»·½øÐС£
À´Ô´£ºÖйú¸¯»¯Óë·À»¤Ñ§±¨
ÃâÔðÉùÃ÷£º±¾Õ¾²¿·ÖͼƬºÍÎÄ×ÖÀ´Ô´ÓÚÍøÂçÊÕ¼¯ÕûÀí£¬½ö¹©Ñ§Ï°½»Á÷£¬°æÈ¨¹éÔ×÷ÕßËùÓУ¬²¢²»´ú±íÎÒÕ¾¿´·¨¡£±¾Õ¾½«²»µ£¸ºµ±ºÎÖ´·¨ÔðÈΣ¬Èç¹ûÓÐÇÖ·¸µ½ÄúµÄȨÀû£¬ÇëʵʱÁªÏµ¿·¢Ò»´¥¼´·¢É¾³ý¡£