Ðû²¼Ê±¼ä£º2021-09-27µã»÷£º2451
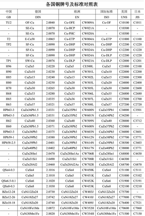
µ¼¶Á£ºÍÖÊÁϱê×¼ÓÐÐí¶à£¬ÓÐÖÐÍâ±ê×¼Ö®·Ö¡£ÎÒÃÇÒ»°ãÖ÷Ҫ˵µÄ¶¼ÊǺ£ÄÚ±ê×¼¡£ÍÖÊÁϺ£ÄÚ±ê×¼ÓÖÓÐÐÐÒµ±ê×¼¡¢µØ·½±ê×¼ºÍÆóÒµ±ê×¼µÄÇø·Ö¡£ÍÖÊÁϱê×¼ÖеĹú¼Ò±ê×¼ÓÖÓÐÍÆ¼ö±ê×¼ºÍÇ¿ÖÆ±ê×¼µÄÇø·Ö¡£´ó´ó¶¼µÄÆóÒµ¶¼ÊǽÓÄÉÍÖÊÁÏÖйú±ê×¼µÄ¡£ËäȻҲÓÐЩÆóÒµÖÆ¶¨Á˱ȹú¼Ò±ê×¼¸ü¸ßµÄ±ê×¼£¬¾ÍÊÇÆóÒµ±ê×¼¡£ÍÖÊÁÏÆóÒµ±ê×¼ËäÈ»¾ÍÊÇÆóÒµÖÆ¶¨µÄ±ê×¼ÁË¡£¸÷¸ö³§¼Ò¶¼¿ÉÒÔÖÆ¶¨Í²ÄÆóÒµ±ê×¼¡£Í²ÄÅÆºÅµÄÌåϵҲÓÐÐí¶à¡£°üÀ¨ÃÀ¹ú¡¢¹ú¼Ò¡¢Ó¢¹ú¡¢·¨¹úºÍ¶íÂÞ˹µÈ¡£
ÍÖÊÁÏÅÆºÅÖÖÀࣿ
¡¡¡¡1¡¢×ÏÍÖÊÁÏÅÆºÅ£ºÑÕÉ«³Ê×ϺìÉ«µÄ´¿ÍÖÊÁÏ¡£×ÏÍÖÊÁÏÓÖ°üÀ¨ÁË´¿Í¡¢ÎÞÑõÍ¡¢Á×ÍÑÑõͺÍÌØÖÖÍÖÊÁÏ¡£
¡¡¡¡2¡¢»ÆÍÖÊÁÏÅÆºÅ£º¾ÍÊÇÍпºÏ½ðÖÊÁÏ¡£
¡¡¡¡3¡¢ÇàÍÖÊÁÏÅÆºÅ£ºÔÖ¸ÍÎýºÏ½ðÖÊÁÏ£¬ØÊºóÖ¸³ý»ÆÍ©p°×ÍÒÔÍâµÄͺϽðÖÊÁÏ¡£
¡¡¡¡4¡¢°×ÍÖÊÁÏÅÆºÅ£ºÒÔÄøÎªÖ÷ÒªÌí¼ÓÔªËØ¡¢³ÊÒø°×É«¡¢ÓнðÊô¹âÔóµÄÍ»ùºÏ½ðÖÊÁÏ¡£
¡¡¡¡ÖйúÍÖÊÁÏÅÆºÅÌåÏÖÒªÁ죿ÎÒ¹ú¹ú¼Ò±ê×¼£¨GB340-76)»®¶¨£¬¼Ó¹¤Í¼°ÍºÏ½ðµÄÅÆºÅÃüÃûÒÔ¡°ÍµÄÖÖÀà´úºÅ¡¢»¯Ñ§·ûºÅºóµÄÔªËØº¬Á¿»ò˳ÐòºÅ¡±ÌåÏÖ£¬ÆäÖУ¬ÍµÄÖÖÀà´úºÅÈ¡***¸öºº×ÖººÓïÆ´ÒôµÄ***¸ö´óд×Öĸ£¬¡°T¡±´ú±í´¿Í£¬¡°Q¡±´ú±íÇàÍ£¬¡°B¡±´ú±êÃ÷Í¡£

ÃÀ¹úÍÖÊÁÏÅÆºÅÌåÏÖÒªÁ죿
ÃÀ¹úUNS±àºÅÖÆ¶È£¨ASTME527)»®¶¨£¬Í¼°ÍºÏ½ð¾ù½ÓÄÉ5λÊý×Ö×÷Ϊ´úºÅ£¬ÌåÏÖΪ¡°C+xxxxx(ÎåλÊý×Ö£©¡±£¬ÆäÖУ¬¼Ó¹¤ÍΪ¡°Cl0000?C15999¡±£¬¼Ó¹¤ÍºÏ½ðΪ¡°C16000?C79999¡±¡£ÕâÖÖ´úºÅϵͳÊÇÔÚÒÑÍù3λÊý×Ö´úºÅµÄ»ù´¡ÉÏ£¬¾ÃÀ¹úÖÊÁÏÓëÊÔÑéлáºÍÃÀ¹ú»ú¶¯¹¤³ÌʦлáÅäºÏÑо¿ºÍÉú³¤¶ø³ÉµÄ£¬²¢³ÉΪÃÀ¹ú½ðÊôÓëºÏ½ðͳһÊý×Ö´úºÅÖÆ¶È£¨UNS)µÄ×é³É²¿·Ö¡£

ÃÀ¹úÍÖÊÁÏÅÆºÅÌåÏÖÒªÁì±í
ÈÕ±¾ÍÖÊÁÏÅÆºÅÌåÏÖÒªÁ죿
ÈÕ±¾¹¤Òµ±ê×¼£¨JIS£©¼Ó¹¤ÍºÏ½ðÅÆºÅÌåÏÖÒªÁìÓëÃÀ¹úUNS±àºÅ»ùÄÚĻͬ£¨½ÏÖ®ÉÙһλÊý×Ö£©¡£¼´£ºC£«XXXX(ËÄλÊý×Ö)¡£Æä***λÊý×ÖÌåÏֺϽðϵÁУ¬ÓÃ2¡«9ÌåÏÖ¡£¸÷Êý×ֵĺ¬ÒâÈçÏ£º
2¡ª¡ªÍпϵºÏ½ð£»
3¡ª¡ªÍпǦϵºÏ½ð£»
4¡ª¡ªÍпÎýϵºÏ½ð£»
5¡ª¡ªÍÎýϵ¡¢ÍÎýǦϵºÏ½ð£»
6¡ª¡ªÍÂÁϵ¡¢Í¹èϵ¡¢ÌØÊâÍпϵºÏ½ð£»
7¡ª¡ªÍÄøÏµ¡¢ÍÄøÐ¿ÏµºÏ½ð£»
8¡¢9¡ª¡ªÉÐδʹÓá£

ÈÕ±¾ÍÖÊÁÏÐÎ×´Àà±ðÓë´úºÅ±í
µÂ¹úÍÖÊÁÏÅÆºÅÌåÏÖÒªÁ죿
Ôڵ¹ú¹¤Òµ±ê×¼£¨din)ÖУ¬ÓÐÉ«½ðÊôÖÊÁϵÄÌåÏÖÒªÁìÓÐÁ½¸öÌåϵ¡£Ò»ÖÖÊÇÒÔ»¯Ñ§ÔªËØ·ûºÅ¡¢±ê¼Ç×ÖĸºÍ°¢À²®Êý×Ö×é³ÉµÄÅÆºÅ£»ÁíÒ»ÖÖÊÇ7λÊý×Ö´úºÅϵͳ¡£ÔÚÏÖÐеÄDIN¼¼Êõ±ê×¼ÎļþÖУ¬Á½ÖÖÌåϵ²¢Óã¬Ï໥±ÈÕÕÁгö¡£
¡¡AÒÔ»¯Ñ§ÔªËØÎª»ù´¡µÄÅÆºÅÌåÏÖÒªÁì
¡¡°´DIN1700¡ª1954µÄ»®¶¨£¬¼Ó¹¤Í¼°ÍºÏ½ðµÄÅÆºÅÒ»°ãÓÉÁ½²¿·Ö×é³É£º
¡¡(1)˵Ã÷ÖÆÔìÒªÁìºÍÓ¦ÓùæÄ£µÄ±ê¼Ç×Öĸ¡£ÀýÈ磺¼û±íÖеĴ¿Í£»
¡¡(2)Ö±½Ó±êÃ÷ºÏ½ðÉí·Ö¡£ÀýÈ磺¼û±íÖеÄͺϽð¡£

µÂ¹úÍÖÊÁÏÅÆºÅÌåÏÖÒªÁì±í1
¡¡¡¡BÊý×Ö´úºÅÌåÏÖÒªÁì
¡¡¡¡ÔÚDIN17007¡ª1956µÄ»®¶¨£¬7λÊý×Ö´úºÅµÄÐÎʽÈçÏ£º
¡¡¡¡X¡¤XXXX¡¤XX(¼´£º×éÓÖÃû¡¤ÀàÓÖÃû¡¤¸½¼ÓºÅ£©
¡¡¡¡ÆäÖУº×éÓÖÃû¡ª¡ª¹²·ÖΪ10´ó×飬ͼ°ÍºÏ½ðΪµÚ2×飻
¡¡¡¡ÀàÓÖÃû¡ª¡ªÌåÏÖ¾ßÌåºÏ½ð£¬Ö÷Ҫƾ¾ÝÖÊÁϵĻ¯Ñ§Éí·Ö¡¢ÖƱ¸·½·¨ÌåÀý£»
¡¡¡¡¸½¼ÓºÅ¡ª¡ªÓÃÒÔ±ê¼ÇÖîÈçÈÛÁ¶¡¢½½×¢¡¢ÈÈ´¦ÀíµÄ·½·¨¼°Óзñ¼Ó¹¤Ó²»¯ºÍÍâÐΡ¢Íâò״¿öµÈ¡£
¡¡¡¡µÂ¹úͼ°ÍºÏ½ðµÄ¾ßÌåÊý×Ö´úºÅÈç±íËùʾ¡£

µÂ¹úÍÖÊÁÏÅÆºÅÌåÏÖÒªÁì±í2
¹ú¼ÊͲÄÁÏÅÆºÅÌåÏÖÒªÁ죿
¹ú¼Ê±ê×¼»¯×éÖ¯±ê×¼£¨ISO1190/1¡ª1982)»®¶¨£¬Í¼°ÍºÏ½ðµÄÅÆºÅÓÃÖÊÁϵĻ¯Ñ§Éí·ÖÌåÏÖ¡£ËùÓÐÅÆºÅǰ¾ùÓ¦ÓС°ISO¡±Ç°×º£¬¿ÉÊÇÔÚ¹ú¼Ê±ê×¼»òͨѶÎļþÖÐÒÑÃ÷ÏÔÖªµÀÊÇÓÃISOÅÆºÅʱ£¬Îª¼ò±ãÆð¼û¿ÉÒÔÊ¡ÂÔ¡°ISO¡±¡£»ùÌåÔªËØºÍÖ÷ÒªºÏ½ð»¯ÔªËØÓ¦½ÓÄɹú¼Ê»¯Ñ§ÔªËØ·ûºÅ£¬Æäºó¼ÓÉÏÌåÏÖ½ðÊôÌØÕ÷µÄ×Öĸ»òÌåÏֺϽðÃûÒåÉí·ÖµÄÊý×Ö¡£
ISO¼Ó¹¤Í¼°ÍºÏ½ðÅÆºÅµÄ×é³ÉÈç±íËùʾ¡£


À´Ô´£ºÍÐű¦
ÃâÔðÉùÃ÷£º±¾Õ¾²¿·ÖͼƬºÍÎÄ×ÖÀ´Ô´ÓÚÍøÂçÊÕ¼¯ÕûÀí£¬½ö¹©Ñ§Ï°½»Á÷£¬°æÈ¨¹éÔ×÷ÕßËùÓУ¬²¢²»´ú±íÎÒÕ¾¿´·¨¡£±¾Õ¾½«²»µ£¸ºµ±ºÎÖ´·¨ÔðÈΣ¬Èç¹ûÓÐÇÖ·¸µ½ÄúµÄȨÀû£¬ÇëʵʱÁªÏµ¿·¢Ò»´¥¼´·¢É¾³ý¡£